专利数据库
统计分析
产业报告
专利数据监控
产业人才
行业动态
产业政策法规
维权援助
个人中心
详情
文本
图像
标题
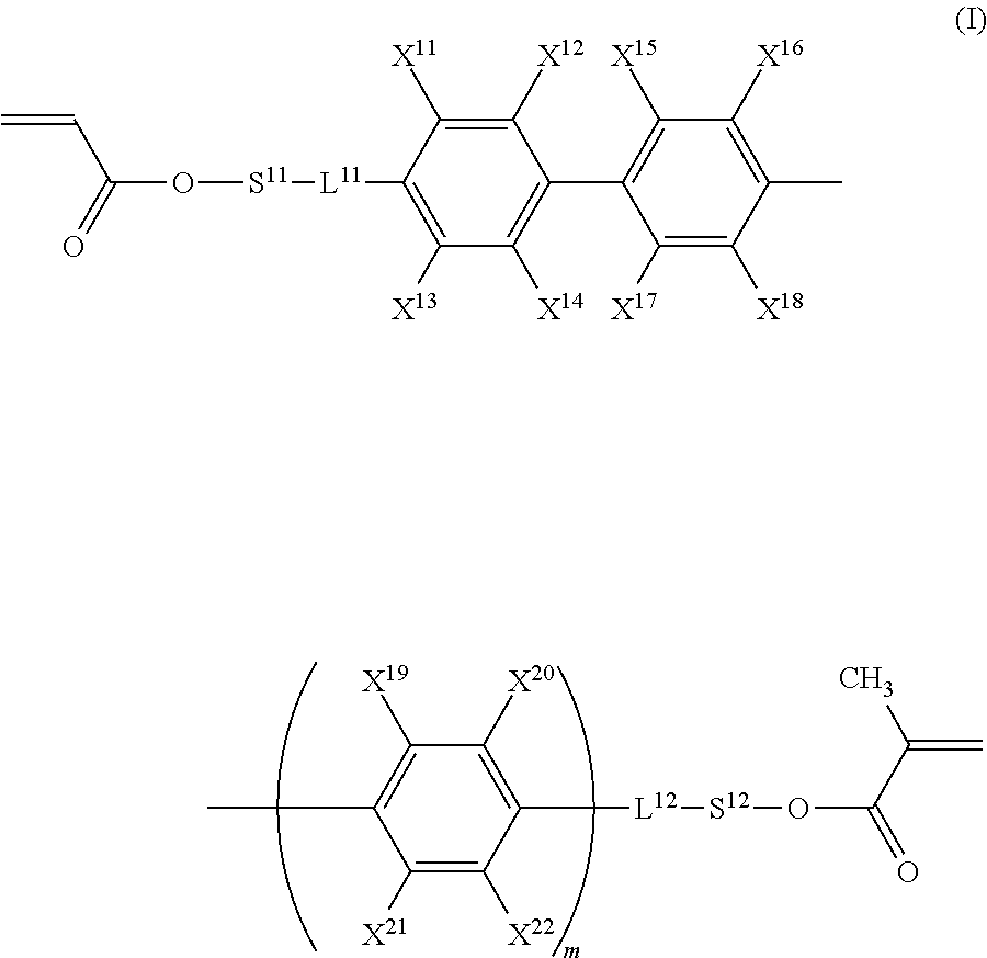
Liquid crystal composition containing polymerizable compound and liquid crystal display element manufactured using the same
授权日
2014-02-11
公开(公告)号
US8647530
申请日
2012-05-18
公开(公告)日
2014-02-11
当前申请(专利权)人
DIC CORPORATION
发明人
KURIYAMA, TAKESHI | KURISAWA, KAZUKI | KAWAKAMI, SHOTARO
简单同族
CN102786937A | CN102786937B | JP2012241124A | JP5678798B2 | TW201302994A | TWI512093B | US20120292568A1 | US8647530
简单同族成员数量
8
简单同族被引用专利总数
57
诉讼案件数
0
法律状态/事件
授权 | 权利转移
抱歉,您的浏览器不支持PDF预览,请点击链接下载PDF文件