专利数据库
统计分析
产业报告
专利数据监控
产业人才
行业动态
产业政策法规
维权援助
个人中心
详情
文本
图像
标题
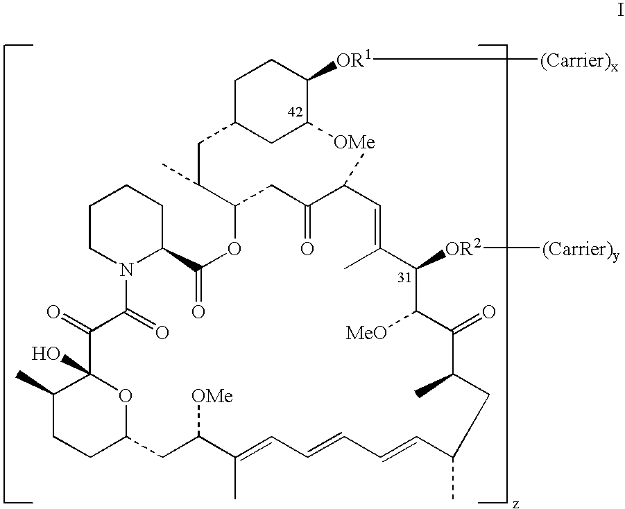
Rapamycin conjugates and antibodies
授权日
1900-01-01
公开(公告)号
US20060121545A1
申请日
2005-11-14
公开(公告)日
2006-06-08
当前申请(专利权)人
PFIZER, INC.
发明人
MOLNAR-KIMBER, KATHERINE L. | CAUFIELD, CRAIG E. | OCAIN, TIMOTHY D.
简单同族
US20020151088A1 | US20060121545A1 | US7279561 | US7279562 | US7897733
简单同族成员数量
5
简单同族被引用专利总数
90
诉讼案件数
0
法律状态/事件
未缴年费
抱歉,您的浏览器不支持PDF预览,请点击链接下载PDF文件