专利数据库
统计分析
产业报告
专利数据监控
产业人才
行业动态
产业政策法规
维权援助
个人中心
详情
文本
图像
标题
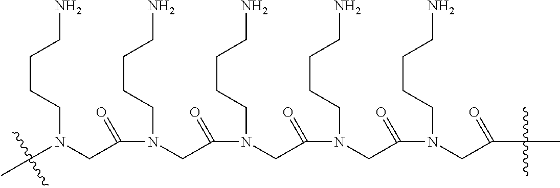
Prion-specific peptoid reagents
授权日
1900-01-01
公开(公告)号
US20120027677A1
申请日
2010-10-07
公开(公告)日
2012-02-02
当前申请(专利权)人
NOVARTIS AG
发明人
PERETZ, DAVID | CONNOLLY, MICHAEL D. | ZUCKERMANN, RONALD | GAO, MAN | TIMOTEO, GULLIVER | SHIMIZU, ROBERT M.
简单同族
AU2006287299A1 | AU2006287299B2 | BRPI0615618A2 | CA2621767A1 | CN101356186A | DK1931695T3 | EP1931695A1 | EP1931695B1 | EP2383281A2 | EP2383281A3 | ES2404940T3 | HK1112249A | HK1163124A | IL189992D0 | JP2009507833A | JP2009507833A5 | JP2012162571A | JP5209477B2 | KR1020080048527A | NZ566020A | NZ566020B | NZ594844A | NZ594844B | US20070087972A1 | US20120027677A1 | US7834144 | WO2007030804A1 | ZA200802186B
简单同族成员数量
28
简单同族被引用专利总数
50
诉讼案件数
0
法律状态/事件
撤回
抱歉,您的浏览器不支持PDF预览,请点击链接下载PDF文件