专利数据库
统计分析
产业报告
专利数据监控
产业人才
行业动态
产业政策法规
维权援助
个人中心
详情
文本
图像
标题
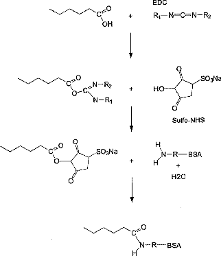
Modified Cardiolipin and Uses Therefor
授权日
1900-01-01
公开(公告)号
US20080311597A1
申请日
2006-11-17
公开(公告)日
2008-12-18
当前申请(专利权)人
THE GOVERNMENT OF THE UNITED STATES OF AMERICA AS REPRESENTED BY THE SECRETARY OF THE DEPARTMENT OF HEALTH AND HUMAN SERVICES CENTERS FOR DISEASE CONTROL AND PREVENTION
发明人
CASTRO, ARNOLD R. | WANG, HUIYING
简单同族
BRPI0618713A2 | BRPI0618713B1 | CN101360997A | CN101360997B | EP1949108A2 | EP1949108B1 | JP2009516199A | JP2011237443A | JP4837743B2 | JP5307198B2 | US20080311597A1 | US20110136143A1 | US7888043 | US8906603 | WO2007061793A2 | WO2007061793A3
简单同族成员数量
16
简单同族被引用专利总数
49
诉讼案件数
0
法律状态/事件
授权 | 权利转移
抱歉,您的浏览器不支持PDF预览,请点击链接下载PDF文件