专利数据库
统计分析
产业报告
专利数据监控
产业人才
行业动态
产业政策法规
维权援助
个人中心
详情
文本
图像
标题
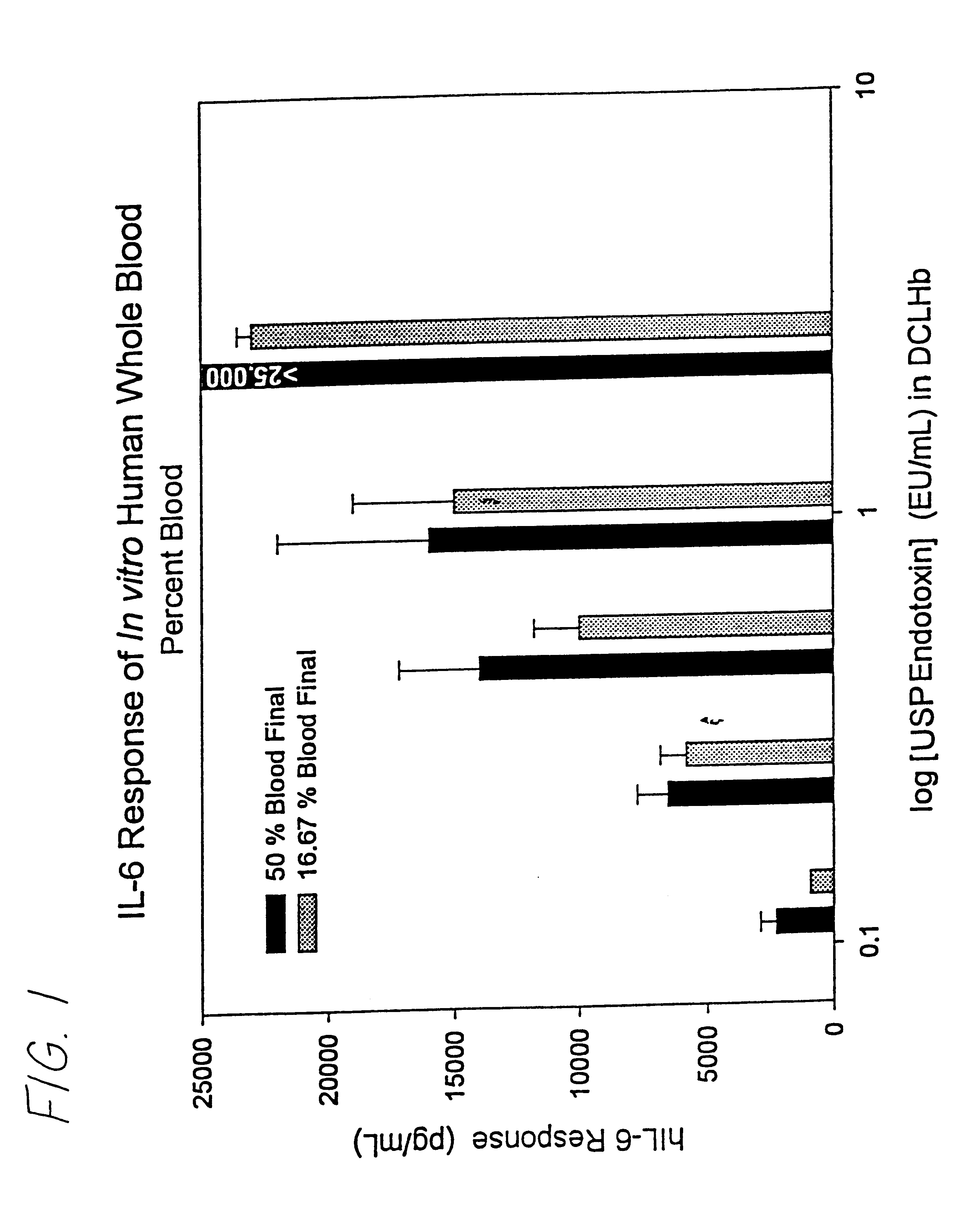
Pyrogenicity test for use with automated immunoassay systems
授权日
2004-02-24
公开(公告)号
US6696261
申请日
2000-12-01
公开(公告)日
2004-02-24
当前申请(专利权)人
BAXTER INTERNATIONAL INC.
发明人
PATEL, MEHUL | POOLE, STEPHEN
简单同族
AU2001049038A1 | DK2295968T3 | EP1234181A1 | EP1234181A4 | EP2295968A2 | EP2295968A3 | EP2295968B1 | ES2395991T3 | JP2003518627A | JP2011158486A | PT2295968E | US20010034037A1 | US6696261 | WO2001048481A1 | WO2001048481A9
简单同族成员数量
15
简单同族被引用专利总数
55
诉讼案件数
0
法律状态/事件
授权 | 权利转移
抱歉,您的浏览器不支持PDF预览,请点击链接下载PDF文件