专利数据库
统计分析
产业报告
专利数据监控
产业人才
行业动态
产业政策法规
维权援助
个人中心
详情
文本
图像
标题
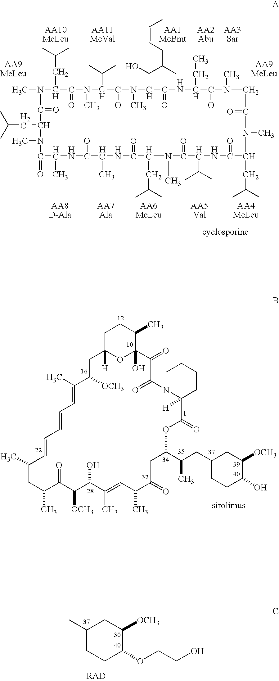
Immunosuppressant drug extraction reagent for immunoassays
授权日
1900-01-01
公开(公告)号
US20080020401A1
申请日
2006-07-21
公开(公告)日
2008-01-24
当前申请(专利权)人
ABBOTT LABORATORIES
发明人
GRENIER, FRANK C. | WORKMAN, RYAN F. | SYED, HINA | ALI, SALMAN
简单同族
US20080020401A1 | US20110091997A1 | US7883855 | US8541554
简单同族成员数量
4
简单同族被引用专利总数
172
诉讼案件数
0
法律状态/事件
授权 | 权利转移
抱歉,您的浏览器不支持PDF预览,请点击链接下载PDF文件