专利数据库
统计分析
产业报告
专利数据监控
产业人才
行业动态
产业政策法规
维权援助
个人中心
详情
文本
图像
标题
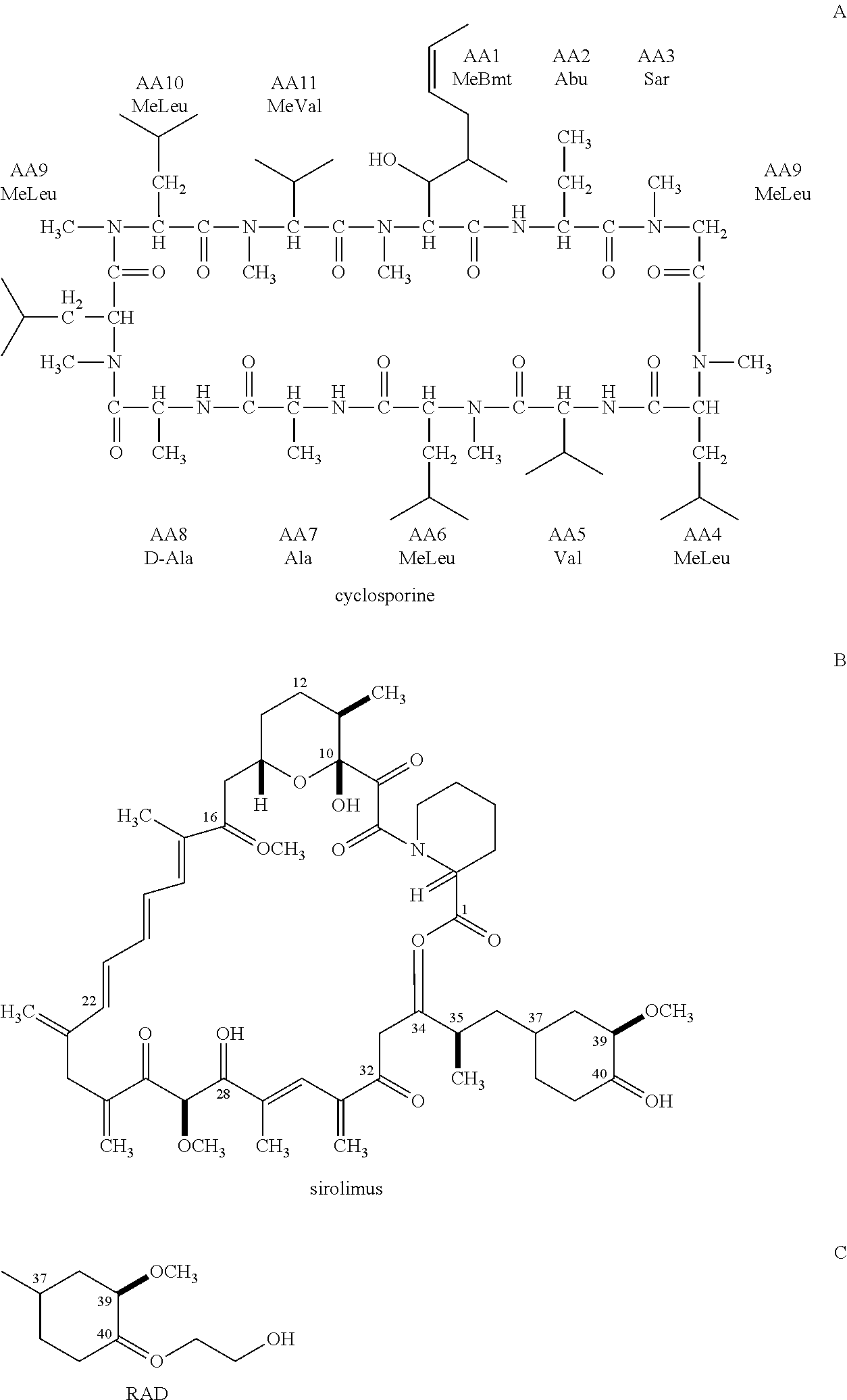
Diagnostic test for the detection of a molecule or drug in whole blood
授权日
2013-05-14
公开(公告)号
US8440416
申请日
2012-07-12
公开(公告)日
2013-05-14
当前申请(专利权)人
ABBOTT LABORATORIES
发明人
GRENIER, FRANK C. | WORKMAN, RYAN F. | SYED, HINA N. | ALI, SALMAN
简单同族
CA2672972A1 | CA2672972C | EP2118654A2 | EP2118654A4 | EP2118654B1 | ES2405364T3 | JP2010515063A | JP5450092B2 | US20090325193A1 | US20120288875A1 | US8221986 | US8440416 | WO2008082979A2 | WO2008082979A3
简单同族成员数量
14
简单同族被引用专利总数
63
诉讼案件数
0
法律状态/事件
授权
抱歉,您的浏览器不支持PDF预览,请点击链接下载PDF文件