专利数据库
统计分析
产业报告
专利数据监控
产业人才
行业动态
产业政策法规
维权援助
个人中心
详情
文本
图像
标题
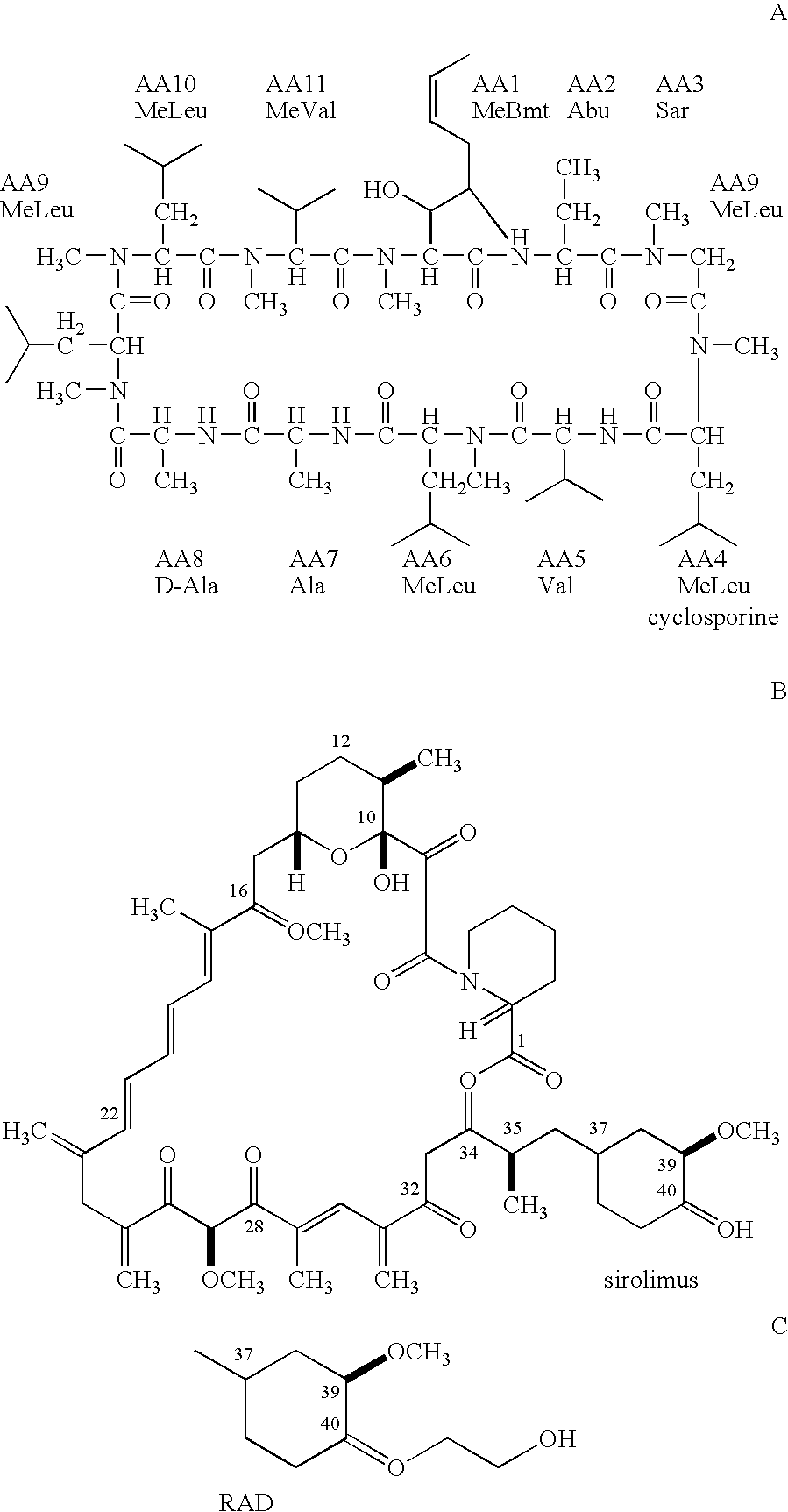
Lysis reagent for use with capture-in-solution immunoassay
授权日
2011-08-09
公开(公告)号
US7993851
申请日
2009-06-25
公开(公告)日
2011-08-09
当前申请(专利权)人
ABBOTT LABORATORIES
发明人
HOLETS-MCCORMACK, SHELLEY R.
简单同族
CA2673314A1 | CA2673314C | EP2118657A2 | EP2118657A4 | EP2118657B1 | JP2010515065A | JP5319549B2 | US20090325198A1 | US20110294140A1 | US7993851 | US8329415 | WO2008082984A2 | WO2008082984A3
简单同族成员数量
13
简单同族被引用专利总数
56
诉讼案件数
0
法律状态/事件
未缴年费 | 权利转移
抱歉,您的浏览器不支持PDF预览,请点击链接下载PDF文件