专利数据库
统计分析
产业报告
专利数据监控
产业人才
行业动态
产业政策法规
维权援助
个人中心
详情
文本
图像
标题
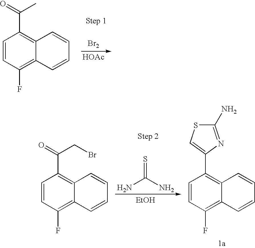
Compositions and methods involving nuclear hormone receptor site II
授权日
1900-01-01
公开(公告)号
US20060223110A1
申请日
2003-07-17
公开(公告)日
2006-10-05
当前申请(专利权)人
BRISTOL-MYERS SQUIBB COMPANY
发明人
DOWEYKO, ARTHUR M.P. | NADLER, STEVEN G.
简单同族
AT456100T | AU2003251969A1 | AU2003251969A8 | DE60331103D1 | EP1575502A2 | EP1575502A3 | EP1575502A4 | EP1575502B1 | ES2337679T3 | US20060223110A1 | US7442554 | WO2004009016A2 | WO2004009016A3
简单同族成员数量
13
简单同族被引用专利总数
55
诉讼案件数
0
法律状态/事件
未缴年费 | 权利转移
抱歉,您的浏览器不支持PDF预览,请点击链接下载PDF文件