专利数据库
统计分析
产业报告
专利数据监控
产业人才
行业动态
产业政策法规
维权援助
个人中心
详情
文本
图像
标题
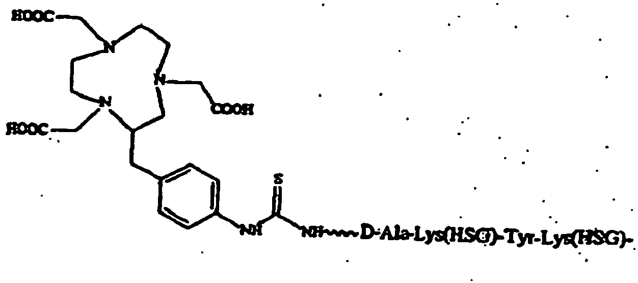
Monoclonal antibody PAM4 and its use for diagnosis and therapy of pancreatic cancer
授权日
2015-09-09
公开(公告)号
EP1521775B1
申请日
2003-06-16
公开(公告)日
2015-09-09
当前申请(专利权)人
IMMUNOMEDICS, INC.
发明人
GOLD, DAVID, V. | GOLDENBERG, DAVID, M. | HANSEN, HANS
简单同族
AU2003250367A1 | CA2489469A1 | CA2489469C | EP1521775A1 | EP1521775B1 | JP2006507803A | JP2006507803A5 | JP5110768B2 | KR101228124B1 | KR1020050010055A | RU2005100777A | US20040057902A1 | US7238786 | WO2003106497A1
简单同族成员数量
14
简单同族被引用专利总数
111
诉讼案件数
0
法律状态/事件
权利终止
抱歉,您的浏览器不支持PDF预览,请点击链接下载PDF文件