专利数据库
统计分析
产业报告
专利数据监控
产业人才
行业动态
产业政策法规
维权援助
个人中心
详情
文本
图像
标题
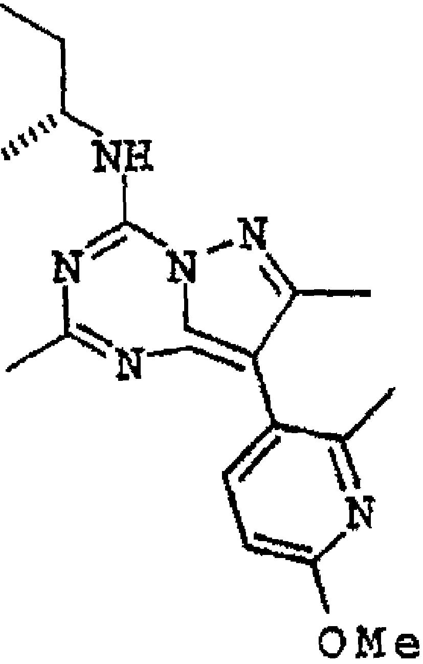
コルチコトロピン放出因子受容体リガンドとしての、4-(2-ブチルアミノ)-2,7-ジメチル-8-(2-メチル-6-メトキシピリド-3-イル)ピラゾロ-[1,5-a]-1,3,5-トリアジン、その鏡像異性体および薬学的に許容できる塩類
授权日
2010-07-16
公开(公告)号
JP4549630B2
申请日
2002-03-06
公开(公告)日
2010-09-22
当前申请(专利权)人
ブリストル-マイヤーズ スクイブ ファーマ カンパニー
发明人
ギリガン,ポール ジェイ
简单同族
AR032986A1 | AT355102T | AU2002245605A1 | AU2002245605B2 | BG108189A | BG66331B1 | BRPI0208357A2 | CA2440553A1 | CA2440553C | CN100427093C | CN1509196A | CZ20032481A3 | DE60218434D1 | DE60218434T2 | DK1368094T3 | EE05433B1 | EE200300435A | EP1368094A1 | EP1368094A4 | EP1368094B1 | ES2282401T3 | GEP20053608B | HK1057182A | HK1057182A1 | HRP20030822A2 | HRP20030822B1 | HU0303480A2 | HU0303480A3 | HU229317B1 | IL157615A | IL157615D0 | IS2839B | IS6947A | JP2004530662A | JP2004530662A5 | JP4549630B2 | KR100875595B1 | KR1020030080086A | MXPA03008185A | MY146935A | NO20034023A | NO20034023D0 | NO20034023L | NO328580B1 | NZ528207A | NZ528207B | PL208278B1 | PL368644A1 | PT1368094E | RS50863B | RU2003130093A | RU2292347C2 | SG100000A1 | SK11572003A3 | SK287603B6 | TWI257388B | UA74634C2 | US20030125330A1 | US20040014760A1 | US20070054913A1 | US20080139567A1 | US7157578 | US7358252 | US7662817 | WO2002072202A1 | YU2003715A | YU71503A | ZA200306995B
简单同族成员数量
68
简单同族被引用专利总数
49
诉讼案件数
0
法律状态/事件
未缴年费
抱歉,您的浏览器不支持PDF预览,请点击链接下载PDF文件