专利数据库
统计分析
产业报告
专利数据监控
产业人才
行业动态
产业政策法规
维权援助
个人中心
详情
文本
图像
标题
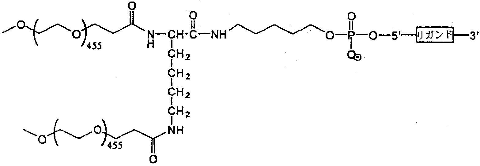
高アフィニティーTGFβ核酸リガンドと阻害剤
授权日
1900-01-01
公开(公告)号
JP2003517295A
申请日
2000-07-26
公开(公告)日
2003-05-27
当前申请(专利权)人
ギリード·サイエンシズ·インコーポレーテッド
发明人
パグラティス,ニコス | ロチュリー,マイケル | ゴールド,ラリー
简单同族
AU2000067487A1 | AU781234B2 | CA2380837A1 | EP1203004A1 | EP1203004A4 | EP1975172A2 | EP1975172A3 | JP2003517295A | US20030064943A1 | US20040258656A1 | US6346611 | US6713616 | WO2001009156A1
简单同族成员数量
13
简单同族被引用专利总数
82
诉讼案件数
0
法律状态/事件
驳回
抱歉,您的浏览器不支持PDF预览,请点击链接下载PDF文件