专利数据库
统计分析
产业报告
专利数据监控
产业人才
行业动态
产业政策法规
维权援助
个人中心
详情
文本
图像
标题
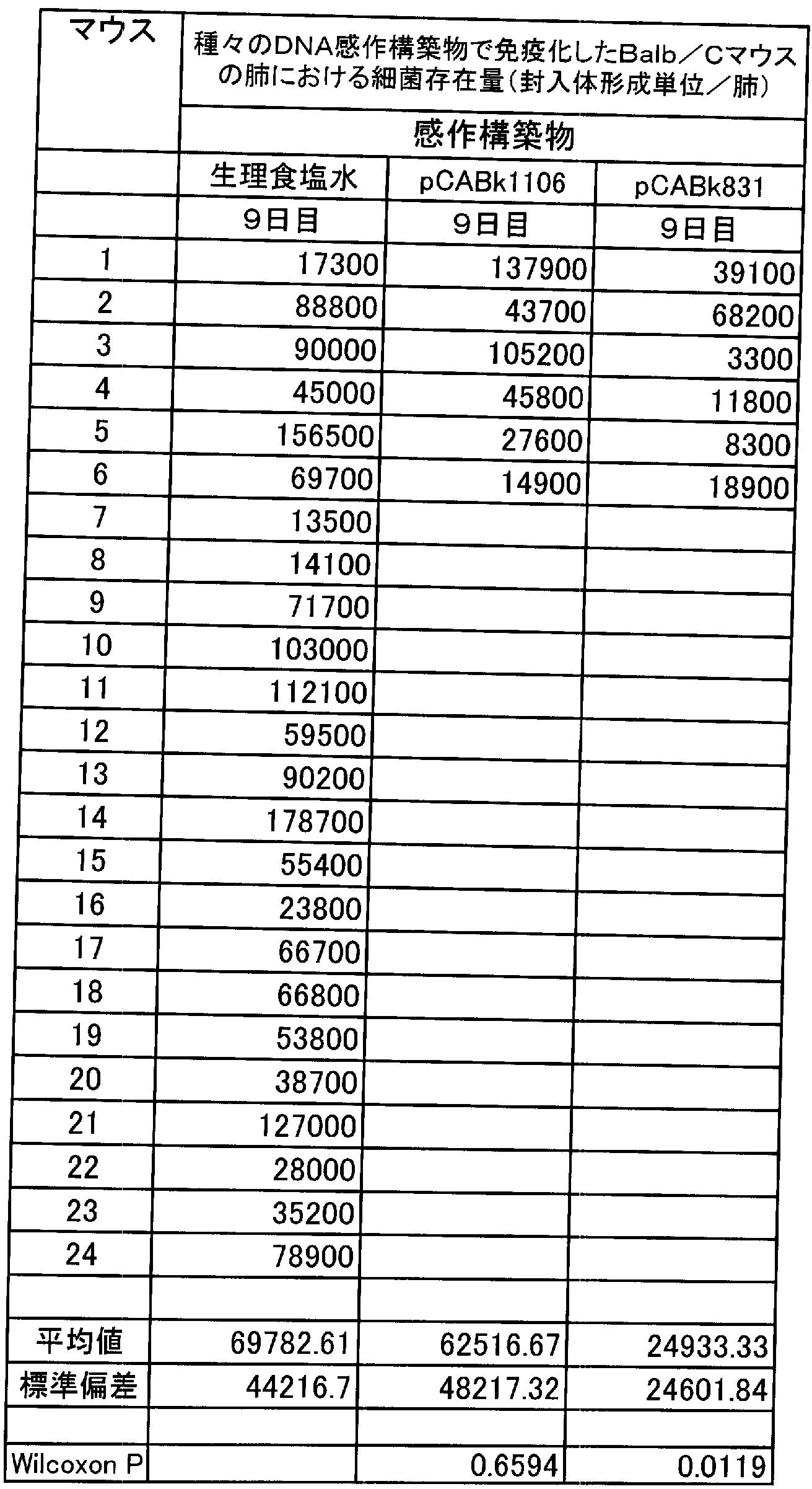
クラミジア抗原および対応するDNA断片ならびにその使用
授权日
2011-11-18
公开(公告)号
JP4864264B2
申请日
2000-12-20
公开(公告)日
2012-02-01
当前申请(专利权)人
サノフィ、パストゥール、リミテッド
发明人
アンドリュー、ディー.モーディン | レイモンド、ピー.オーメン | ジョー、ワン | パメラ、ダン
简单同族
AT463575T | AU2001021384A1 | AU784193B2 | CA2395499A1 | CA2395499C | DE60044146D1 | EP1240331A2 | EP1240331B1 | JP2003517844A | JP2003517844A5 | JP4864264B2 | NZ520200A | NZ520200B | US20020123067A1 | US20030161833A1 | US20050142146A1 | US20090214639A1 | US7019125 | WO2001046224A2 | WO2001046224A3
简单同族成员数量
20
简单同族被引用专利总数
53
诉讼案件数
0
法律状态/事件
未缴年费
抱歉,您的浏览器不支持PDF预览,请点击链接下载PDF文件