专利数据库
统计分析
产业报告
专利数据监控
产业人才
行业动态
产业政策法规
维权援助
个人中心
详情
文本
图像
标题
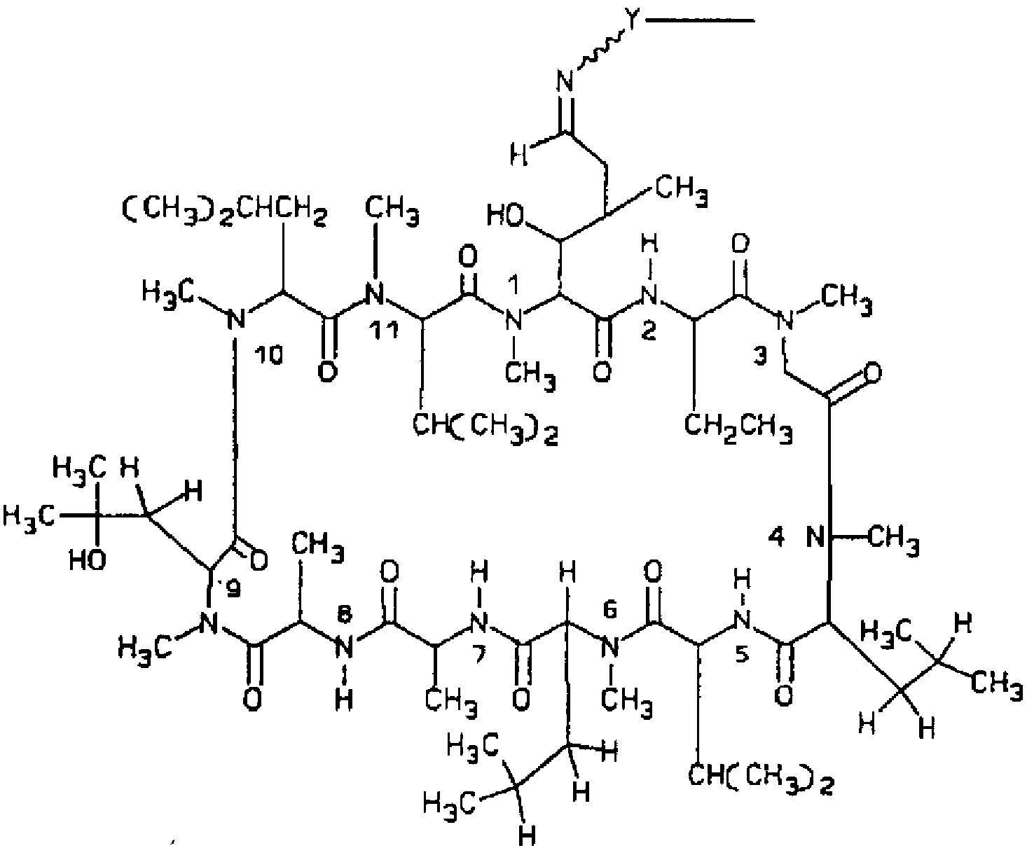
シクロスポリン免疫アッセイ
授权日
2007-03-30
公开(公告)号
JP3936285B2
申请日
2002-12-18
公开(公告)日
2007-06-27
当前申请(专利权)人
デイド·ベーリング·マルブルク·ゲゼルシヤフト·ミツト·ベシユレンクテル·ハフツング
发明人
ダリウシュ ダバリアン | モウリーン エィチ.ベレシニ | スベットラナ アレクサンダー | マエ ダブリュ.フ | エドウィン エフ.ウルマン
简单同族
AT142344T | CA2055813A1 | DE69121844D1 | DE69121844T2 | DE69133095D1 | DE69133095T2 | EP0487289A2 | EP0487289A3 | EP0487289B1 | EP0674178A2 | EP0674178A3 | EP0674178B1 | ES2091301T3 | ES2181734T3 | JP1992316599A | JP2003201298A | JP3433952B2 | JP3936285B2 | US6054303 | US6190873 | US6410696
简单同族成员数量
21
简单同族被引用专利总数
151
诉讼案件数
0
法律状态/事件
期限届满
抱歉,您的浏览器不支持PDF预览,请点击链接下载PDF文件