专利数据库
统计分析
产业报告
专利数据监控
产业人才
行业动态
产业政策法规
维权援助
个人中心
详情
文本
图像
标题
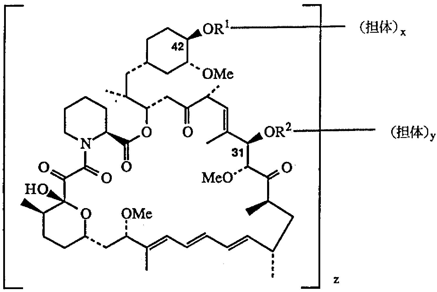
ラパマイシン結合体及び抗体
授权日
1900-01-01
公开(公告)号
JP2004149542A
申请日
2003-12-10
公开(公告)日
2004-05-27
当前申请(专利权)人
ワイス
发明人
エドウアルド·ゴンザレス | ジヨン·シー·ラツセル | キヤサリン·エル·モルナー-キンバー
简单同族
AU1994067720A1 | AU686629B | CA2161101A1 | DE69430060D1 | DE69430060T2 | DE69435044D1 | DE69435044T2 | EP0710110A1 | EP0710110A4 | EP0710110B1 | EP1181938A2 | EP1181938A3 | EP1181938B1 | ES2176245T3 | ES2295093T3 | JP1996509499A | JP2004149542A | JP2004168782A | US20010010920A1 | US6328970 | US6541612 | WO1994025022A1
简单同族成员数量
22
简单同族被引用专利总数
184
诉讼案件数
0
法律状态/事件
驳回
抱歉,您的浏览器不支持PDF预览,请点击链接下载PDF文件