专利数据库
统计分析
产业报告
专利数据监控
产业人才
行业动态
产业政策法规
维权援助
个人中心
详情
文本
图像
标题
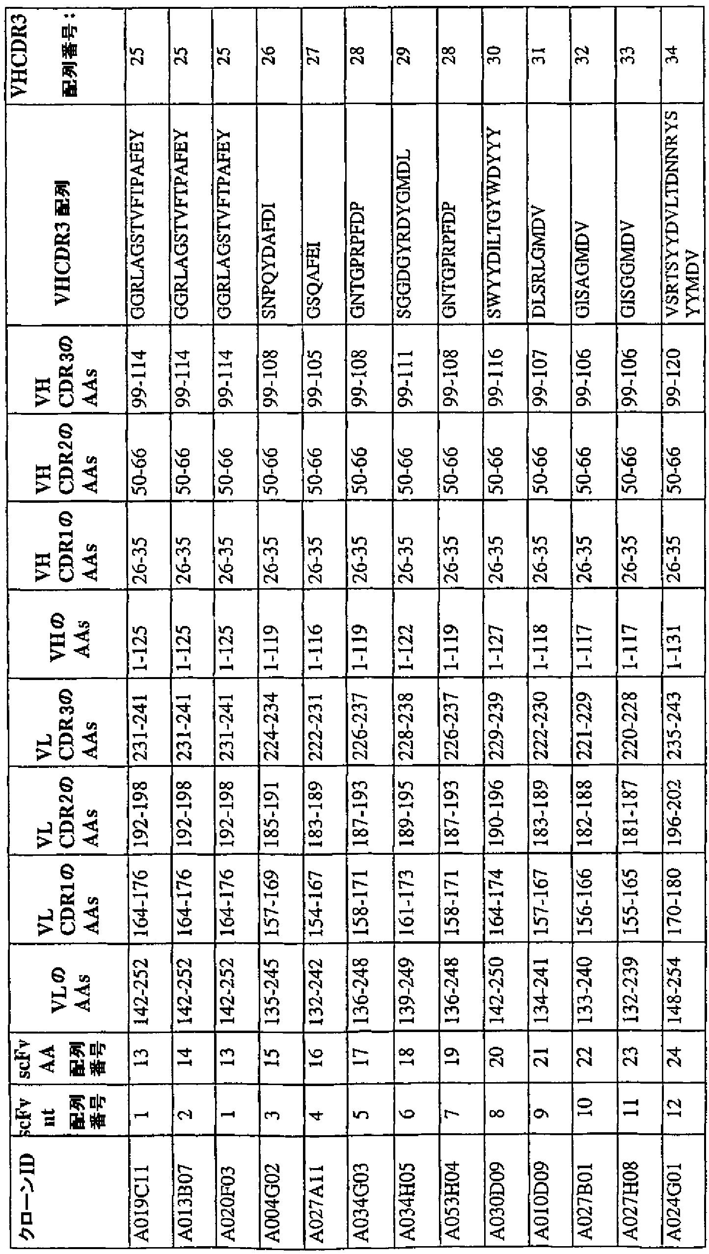
腫瘍壊死因子δ(APRIL)に対する抗体
授权日
1900-01-01
公开(公告)号
JP2004537290A
申请日
2002-05-22
公开(公告)日
2004-12-16
当前申请(专利权)人
ヒューマン ジノーム サイエンシーズ, インコーポレイテッド
发明人
ルーベン, スティーブン エム.
简单同族
AU2002311976A1 | CA2446734A1 | EP1401870A2 | EP1401870A4 | JP2004537290A | JP2005272478A | US20030059862A1 | US20070160603A1 | US7189820 | WO2002094192A2 | WO2002094192A3
简单同族成员数量
11
简单同族被引用专利总数
127
诉讼案件数
0
法律状态/事件
撤回
抱歉,您的浏览器不支持PDF预览,请点击链接下载PDF文件