专利数据库
统计分析
产业报告
专利数据监控
产业人才
行业动态
产业政策法规
维权援助
个人中心
详情
文本
图像
标题
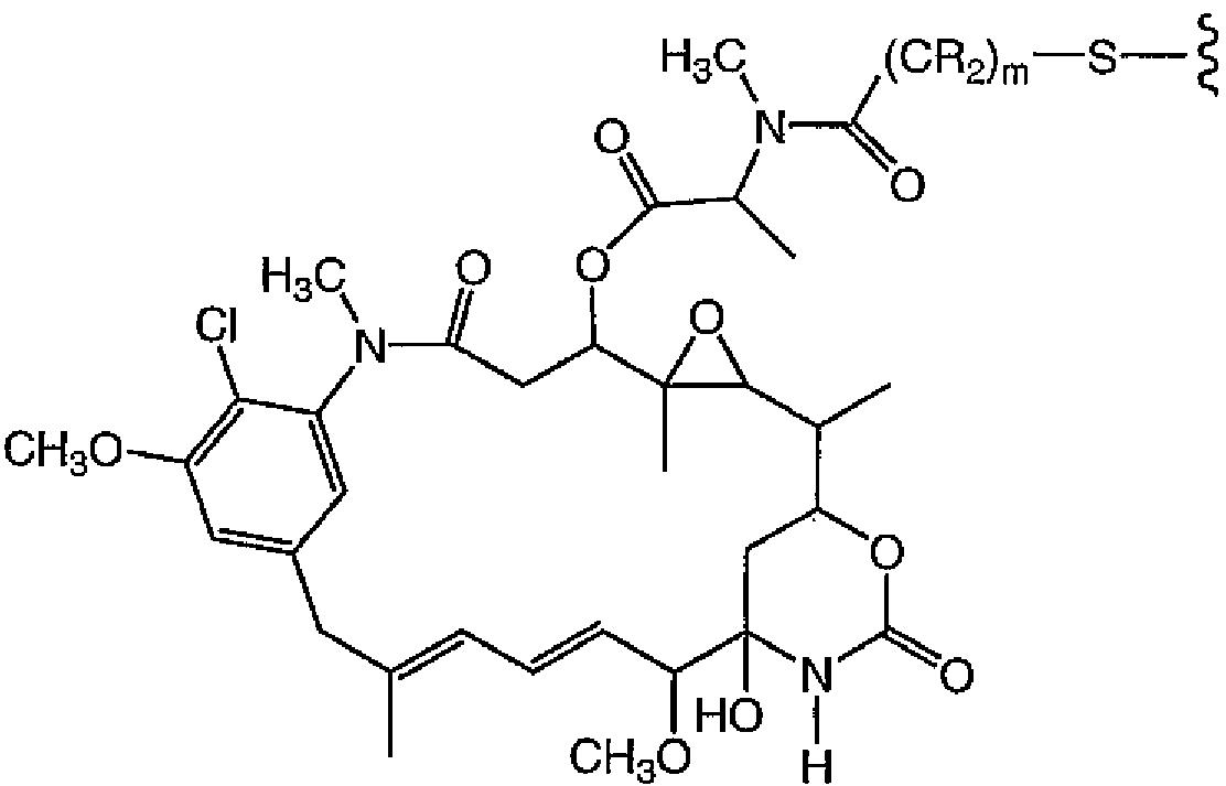
抗体結合体の質量分析
授权日
1900-01-01
公开(公告)号
JP2007532882A
申请日
2005-04-06
公开(公告)日
2007-11-15
当前申请(专利权)人
ジェネンテック, インコーポレイテッド | カドコダヤン, ミリアム | マン, エミリー
发明人
カドコダヤン, ミリアム | マン, エミリー
简单同族
CA2559870A1 | EP1740954A1 | EP1740954B1 | ES2549077T3 | JP2007532882A | JP4861308B2 | US20050232929A1 | US7662936 | WO2005101017A1
简单同族成员数量
9
简单同族被引用专利总数
169
诉讼案件数
0
法律状态/事件
授权 | 权利转移
抱歉,您的浏览器不支持PDF预览,请点击链接下载PDF文件