专利数据库
统计分析
产业报告
专利数据监控
产业人才
行业动态
产业政策法规
维权援助
个人中心
详情
文本
图像
标题
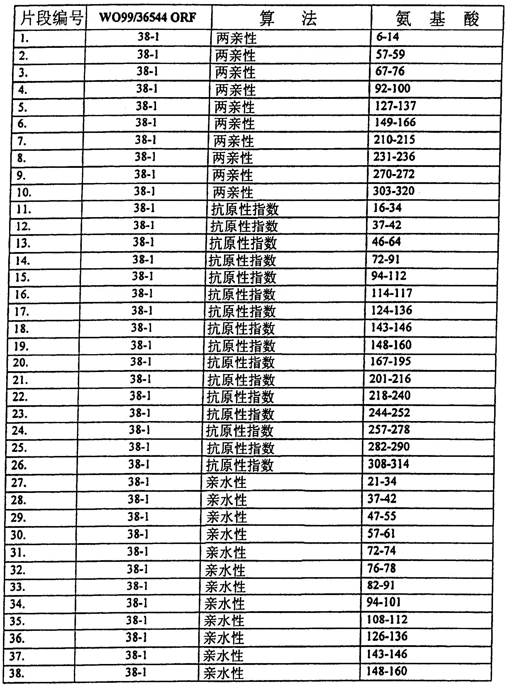
脑膜炎球菌的抗原性肽
授权日
1900-01-01
公开(公告)号
CN1590404A
申请日
2000-07-13
公开(公告)日
2005-03-09
当前申请(专利权)人
启龙股份公司
发明人
V·马斯格阿尼 | V·斯卡拉托 | M·斯卡塞利 | C·加莱奥蒂 | M·莫拉
简单同族
AT397068T | AU2000058393A1 | BRPI0012424A2 | CA2378547A1 | CA2801979A1 | CN1373805A | CN1590404A | DE60039050D1 | EP1196587A2 | EP1196587B1 | EP1935979A2 | EP1935979A3 | GB9916529D0 | JP2003504062A | JP2003504062A5 | JP2011142915A | JP2011142915A5 | JP2013078340A | MXPA02000463A | RU2002103604A | RU2253678C2 | US7618636 | WO2001004316A2 | WO2001004316A3
简单同族成员数量
24
简单同族被引用专利总数
73
诉讼案件数
0
法律状态/事件
撤回
抱歉,您的浏览器不支持PDF预览,请点击链接下载PDF文件