专利数据库
统计分析
产业报告
专利数据监控
产业人才
行业动态
产业政策法规
维权援助
个人中心
详情
文本
图像
标题
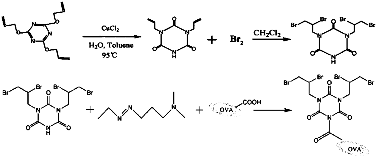
三(2,3-二溴丙基)异氰脲酸酯包被原的制备和用途
授权日
1900-01-01
公开(公告)号
CN105111307A
申请日
2015-08-07
公开(公告)日
2015-12-02
当前申请(专利权)人
上海交通大学
发明人
庄惠生 | 孙瑞艳 | 卜聃
简单同族
CN105111307A
简单同族成员数量
1
简单同族被引用专利总数
0
诉讼案件数
0
法律状态/事件
驳回
抱歉,您的浏览器不支持PDF预览,请点击链接下载PDF文件