专利数据库
统计分析
产业报告
专利数据监控
产业人才
行业动态
产业政策法规
维权援助
个人中心
详情
文本
图像
标题
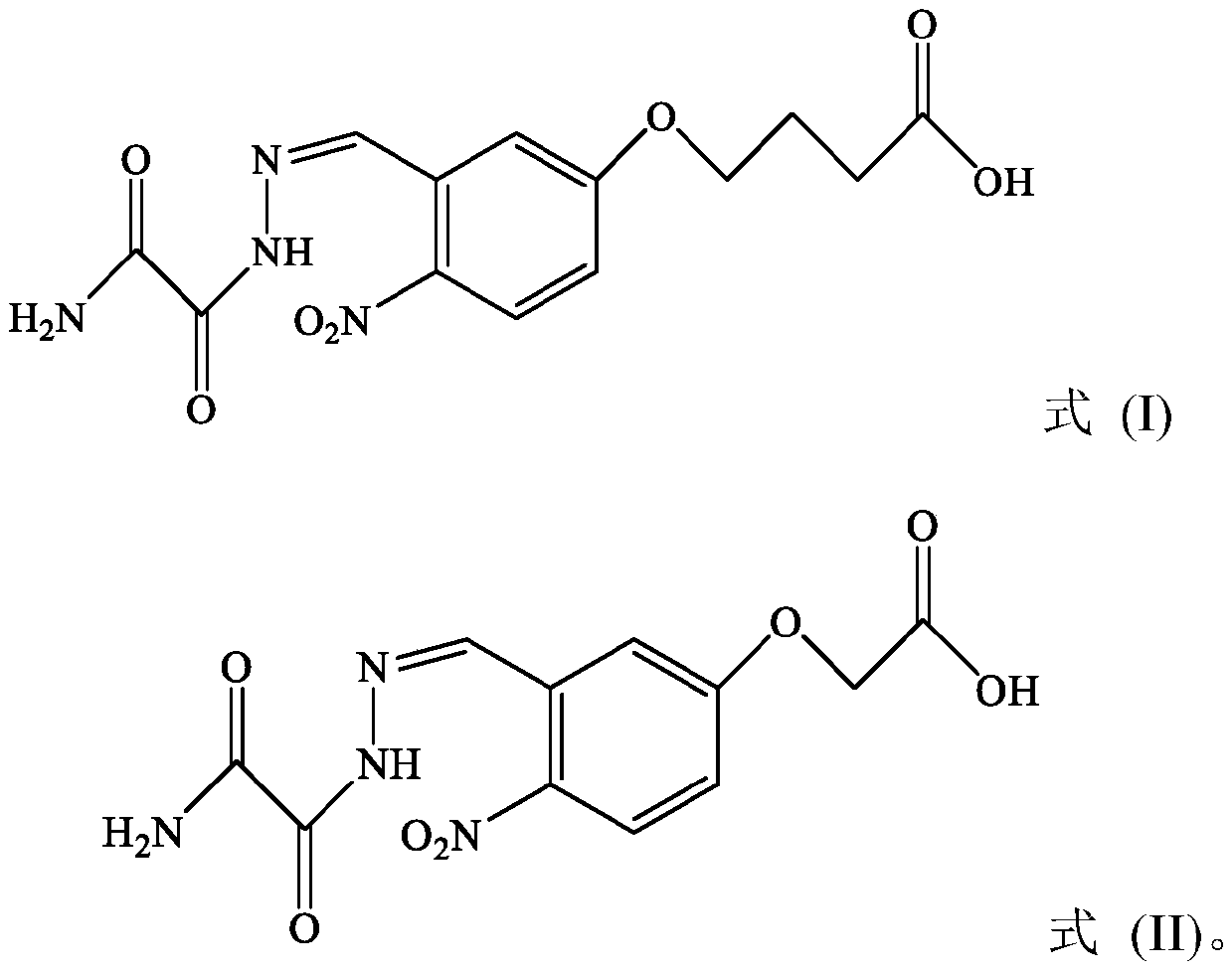
硝呋地腙半抗原和人工抗原及其制备方法与应用
授权日
1900-01-01
公开(公告)号
CN110683965A
申请日
2019-10-18
公开(公告)日
2020-01-14
当前申请(专利权)人
中国农业大学
发明人
王战辉 | 于雪芝 | 温凯 | 沈建忠 | 江海洋 | 张素霞 | 朱建宇
简单同族
CN110683965A
简单同族成员数量
1
简单同族被引用专利总数
0
诉讼案件数
0
法律状态/事件
实质审查
抱歉,您的浏览器不支持PDF预览,请点击链接下载PDF文件