专利数据库
统计分析
产业报告
专利数据监控
产业人才
行业动态
产业政策法规
维权援助
个人中心
详情
文本
图像
标题
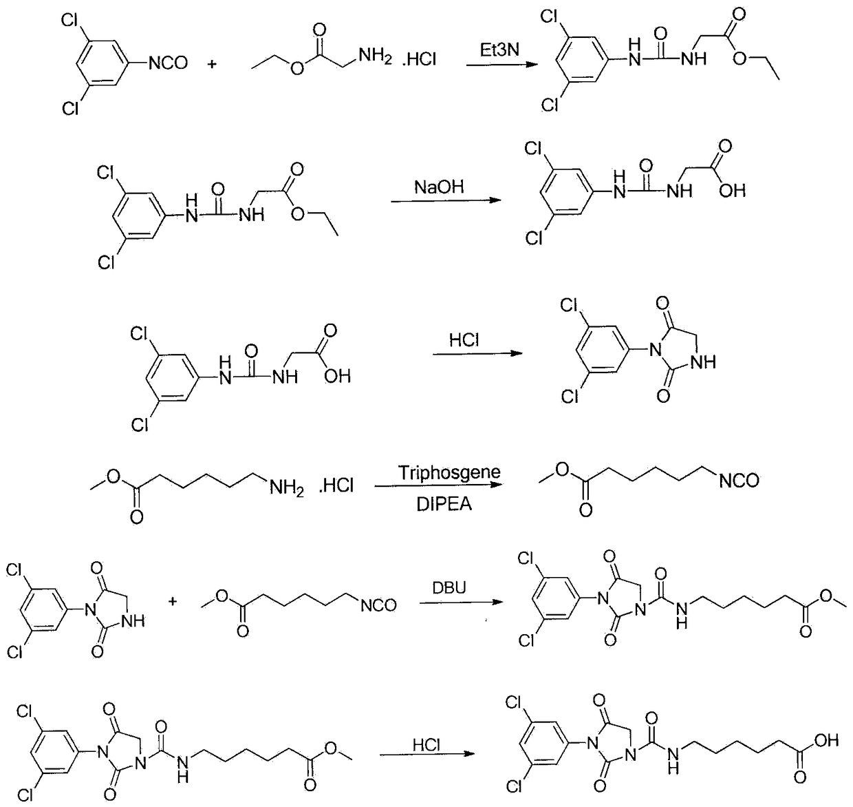
一种异菌脲半抗原与抗原的制备方法及应用
授权日
1900-01-01
公开(公告)号
CN109265401A
申请日
2018-09-21
公开(公告)日
2019-01-25
当前申请(专利权)人
中国烟草总公司郑州烟草研究院 | 国家烟草质量监督检验中心 | 北京勤邦生物技术有限公司
发明人
陈黎 | 范子彦 | 刘惠民 | 唐纲岭 | 樊美娟 | 崔华鹏 | 颜权平 | 万宇平 | 申梁 | 吴小胜
简单同族
CN109265401A
简单同族成员数量
1
简单同族被引用专利总数
0
诉讼案件数
0
法律状态/事件
实质审查
抱歉,您的浏览器不支持PDF预览,请点击链接下载PDF文件