专利数据库
统计分析
产业报告
专利数据监控
产业人才
行业动态
产业政策法规
维权援助
个人中心
详情
文本
图像
标题
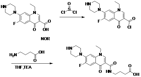
一种诺氟沙星半抗原制备方法及其应用
授权日
1900-01-01
公开(公告)号
CN106220563A
申请日
2016-07-04
公开(公告)日
2016-12-14
当前申请(专利权)人
北京明日达科技发展有限责任公司
发明人
曹罡 | 吴雨洋 | 秦誉 | 杨柳 | 王照鹏 | 谢冰
简单同族
CN106220563A
简单同族成员数量
1
简单同族被引用专利总数
0
诉讼案件数
0
法律状态/事件
撤回
抱歉,您的浏览器不支持PDF预览,请点击链接下载PDF文件