专利数据库
统计分析
产业报告
专利数据监控
产业人才
行业动态
产业政策法规
维权援助
个人中心
详情
文本
图像
标题
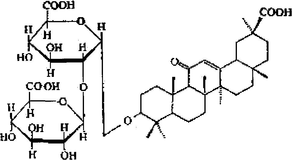
用于检测和测定甘草酸的抗体、方法和试剂盒
授权日
1900-01-01
公开(公告)号
CN103387611A
申请日
2012-05-09
公开(公告)日
2013-11-13
当前申请(专利权)人
北京中医药大学
发明人
屈会化 | 赵琰 | 王庆国 | 王雪茜 | 续洁琨 | 李翼飞 | 薛瑾 | 吴婷婷 | 孙晔 | 刘洋
简单同族
CN103387611A
简单同族成员数量
1
简单同族被引用专利总数
0
诉讼案件数
0
法律状态/事件
撤回
抱歉,您的浏览器不支持PDF预览,请点击链接下载PDF文件