专利数据库
统计分析
产业报告
专利数据监控
产业人才
行业动态
产业政策法规
维权援助
个人中心
详情
文本
图像
标题
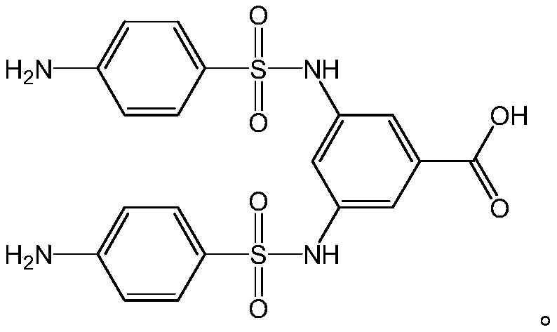
一种磺胺类药物半抗原、人工抗原及其在免疫检测中的应用
授权日
1900-01-01
公开(公告)号
CN110818599A
申请日
2019-10-09
公开(公告)日
2020-02-21
当前申请(专利权)人
广东达元绿洲食品安全科技股份有限公司 | 广州达元食品安全技术有限公司 | 广东中检达元检测技术有限公司 | 广东达元食品药品安全技术有限公司
发明人
李斌 | 王莹莹 | 邬秀锋 | 刘远高 | 苏振贤 | 黄家怡
简单同族
CN110818599A
简单同族成员数量
1
简单同族被引用专利总数
0
诉讼案件数
0
法律状态/事件
实质审查
抱歉,您的浏览器不支持PDF预览,请点击链接下载PDF文件