专利数据库
统计分析
产业报告
专利数据监控
产业人才
行业动态
产业政策法规
维权援助
个人中心
详情
文本
图像
标题
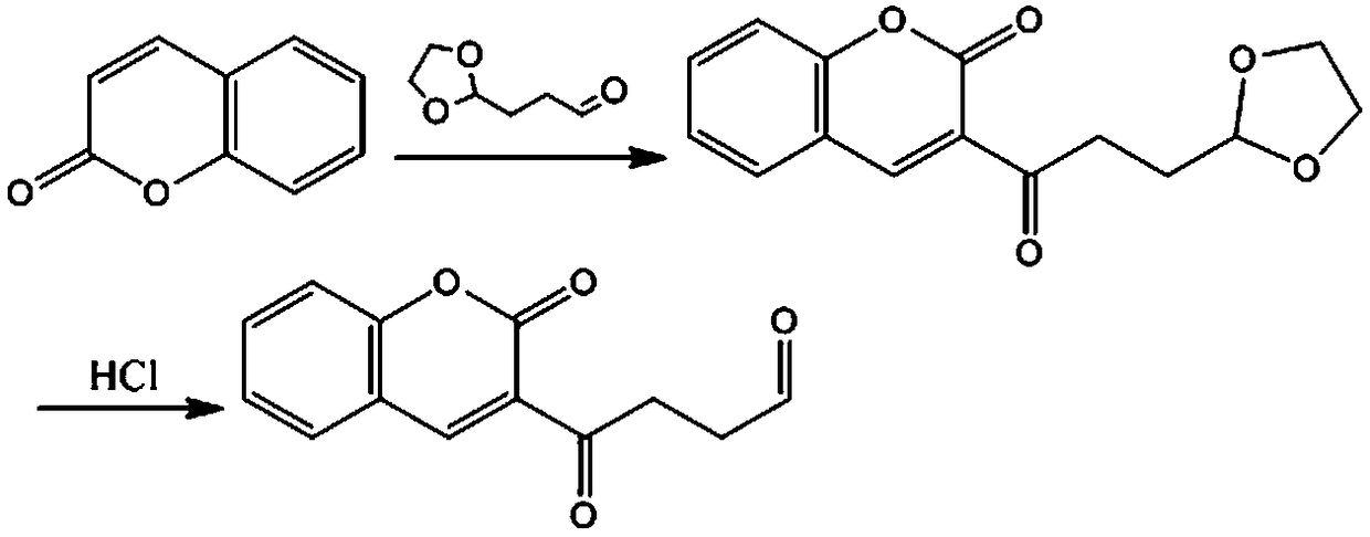
一种检测香豆素的试纸条及其制备方法和应用
授权日
1900-01-01
公开(公告)号
CN108956993A
申请日
2018-05-30
公开(公告)日
2018-12-07
当前申请(专利权)人
中国烟草总公司郑州烟草研究院 | 北京勤邦生物技术有限公司
发明人
陈黎 | 刘惠民 | 万宇平 | 鲁亚辉 | 崔华鹏 | 樊美娟 | 赵乐 | 潘立宁 | 扶胜 | 桑旭升
简单同族
CN108956993A
简单同族成员数量
1
简单同族被引用专利总数
0
诉讼案件数
0
法律状态/事件
实质审查
抱歉,您的浏览器不支持PDF预览,请点击链接下载PDF文件