专利数据库
统计分析
产业报告
专利数据监控
产业人才
行业动态
产业政策法规
维权援助
个人中心
详情
文本
图像
标题
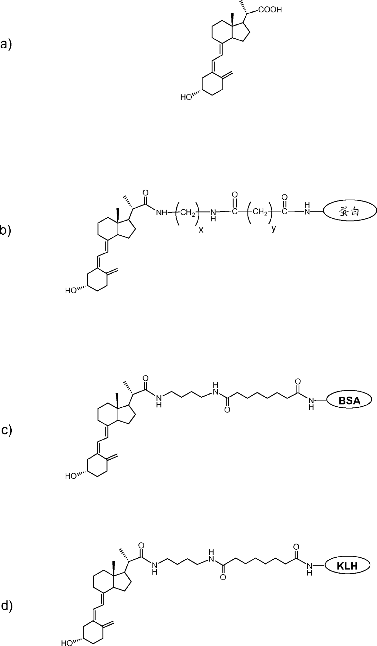
针对25-羟基维生素D2和D3的抗体及其用途
授权日
1900-01-01
公开(公告)号
CN103857698A
申请日
2012-05-18
公开(公告)日
2014-06-11
当前申请(专利权)人
西门子医疗保健诊断公司
发明人
布鲁斯·A·坎贝尔 | 林相喜 | 廖起牧 | N.P.萨哈基安 | J.V.弗里曼 | R.A.埃文格利斯塔
简单同族
AU2012259080A1 | AU2017203779A1 | AU2017203779B2 | CN103857698A | CN103857698B | EP2710376A2 | EP2710376A4 | EP2710376B1 | ES2710449T3 | JP2014516540A | JP2014516540A5 | JP2017040659A | JP6404876B2 | KR1020140086925A | KR102032531B1 | US20130059825A1 | US20140336156A1 | US20180372761A1 | US8785603 | WO2012162165A2 | WO2012162165A3
简单同族成员数量
21
简单同族被引用专利总数
67
诉讼案件数
0
法律状态/事件
授权
抱歉,您的浏览器不支持PDF预览,请点击链接下载PDF文件