专利数据库
统计分析
产业报告
专利数据监控
产业人才
行业动态
产业政策法规
维权援助
个人中心
详情
文本
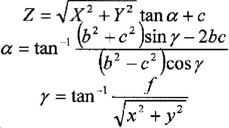
图像
标题
内視鏡システム
授权日
1900-01-01
公开(公告)号
JPWO2005077253A1
申请日
2005-02-17
公开(公告)日
2008-01-10
当前申请(专利权)人
国立大学法人大阪大学
发明人
八木 康史 | 越後 富夫 | 佐川 立昌
简单同族
CN100399978C | CN1921797A | JP4631057B2 | JPWO2005077253A1 | US20070161853A1 | US7922652 | WO2005077253A1
简单同族成员数量
7
简单同族被引用专利总数
96
诉讼案件数
0
法律状态/事件
授权
抱歉,您的浏览器不支持PDF预览,请点击链接下载PDF文件