专利数据库
统计分析
产业报告
专利数据监控
产业人才
行业动态
产业政策法规
维权援助
个人中心
详情
文本
图像
标题
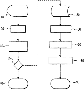
采用二维以上声学数据的实时超声量化
授权日
2009-02-04
公开(公告)号
CN100457046C
申请日
2003-06-10
公开(公告)日
2009-02-04
当前申请(专利权)人
皇家飞利浦电子股份有限公司
发明人
I·S·萨尔戈 | B·J·萨沃尔德
简单同族
AU2003239729A1 | CN100457046C | CN101366643A | CN101366643B | CN1662181A | EP1517638A1 | JP2005530546A | KR1020050013602A | US20030236462A1 | US6824517 | WO2004000124A1
简单同族成员数量
11
简单同族被引用专利总数
39
诉讼案件数
0
法律状态/事件
未缴年费
抱歉,您的浏览器不支持PDF预览,请点击链接下载PDF文件