专利数据库
统计分析
产业报告
专利数据监控
产业人才
行业动态
产业政策法规
维权援助
个人中心
详情
文本
图像
标题
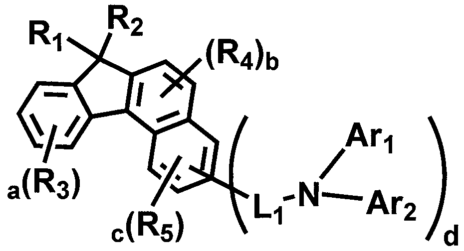
유기 전계 발광 화합물 및 이를 포함하는 유기 전계 발광 소자
授权日
1900-01-01
公开(公告)号
KR1020200018275A
申请日
2019-08-01
公开(公告)日
2020-02-19
当前申请(专利权)人
롬엔드하스전자재료코리아유한회사
发明人
홍진리 | 문두현 | 박두용 | 임영묵
简单同族
KR1020200018275A
简单同族成员数量
1
简单同族被引用专利总数
0
诉讼案件数
0
法律状态/事件
公开
抱歉,您的浏览器不支持PDF预览,请点击链接下载PDF文件