专利数据库
统计分析
产业报告
专利数据监控
产业人才
行业动态
产业政策法规
维权援助
个人中心
详情
文本
图像
标题
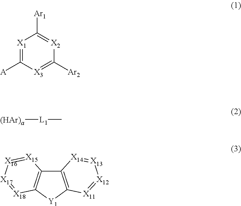
Aromatic heterocyclic derivative, material for organic electroluminescence element, and organic electroluminescence element
授权日
1900-01-01
公开(公告)号
US20140073784A1
申请日
2012-11-21
公开(公告)日
2014-03-13
当前申请(专利权)人
IDEMITSU KOSAN CO., LTD.
发明人
MIZUTANI, SAYAKA | SADO, TAKAYASU
简单同族
CN103380508A | CN103380508B | CN107342368A | CN107342368B | CN107501244A | CN107556298A | CN107586290A | EP2752902A1 | EP2752902A4 | EP2752902B1 | EP2752902B9 | EP3211682A1 | EP3211682B1 | JP2017152706A | JP2018035161A | JP6152053B2 | JP6434073B2 | JP6523391B2 | JPWO2013077352A1 | KR1020140101661A | KR1020180008922A | KR1020180049266A | KR102025031B1 | KR102046775B1 | TW201332995A | TWI606046B | US10199580 | US10418563 | US20140001456A1 | US20140073784A1 | US20160111655A1 | US20180102485A1 | US20180331299A1 | US20190348615A1 | US9209406 | US9893296 | WO2013077352A1
简单同族成员数量
37
简单同族被引用专利总数
105
诉讼案件数
0
法律状态/事件
授权 | 权利转移
抱歉,您的浏览器不支持PDF预览,请点击链接下载PDF文件