专利数据库
统计分析
产业报告
专利数据监控
产业人才
行业动态
产业政策法规
维权援助
个人中心
详情
文本
图像
标题
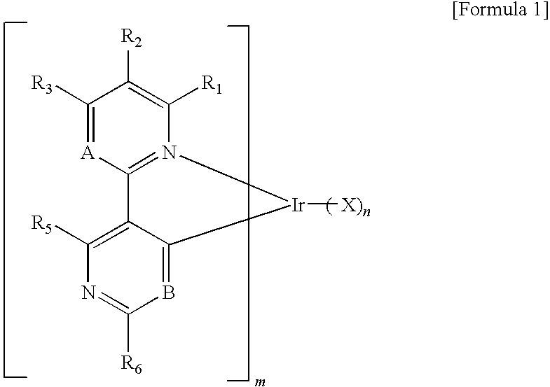
Ir compound and organic electroluminescent device using the same
授权日
2009-09-08
公开(公告)号
US7585573
申请日
2005-02-01
公开(公告)日
2009-09-08
当前申请(专利权)人
SAMSUNG DISPLAY CO., LTD.
发明人
LEE, SEOK-JONG | YANG, SEUNG-GAK | KIM, HEE-YEON | KIM, YOUNG-KOOK | HWANG, SEOK-HWAN | SHIN, DAE-YUP | DO, YOUNG-RAG | JUNG, DONG-HYUN
简单同族
CN100543023C | CN1664054A | JP2005220136A | JP4323439B2 | KR100537621B1 | KR1020050078472A | US20050170209A1 | US7585573
简单同族成员数量
8
简单同族被引用专利总数
216
诉讼案件数
0
法律状态/事件
授权 | 权利转移
抱歉,您的浏览器不支持PDF预览,请点击链接下载PDF文件