专利数据库
统计分析
产业报告
专利数据监控
产业人才
行业动态
产业政策法规
维权援助
个人中心
详情
文本
图像
标题
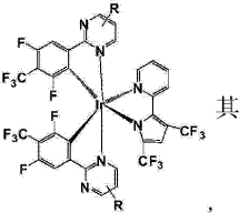
一种蓝光有机电致磷光材料及其制备方法和有机电致发光器件
授权日
1900-01-01
公开(公告)号
CN104419413A
申请日
2013-09-03
公开(公告)日
2015-03-18
当前申请(专利权)人
海洋王照明科技股份有限公司 | 深圳市海洋王照明技术有限公司 | 深圳市海洋王照明工程有限公司
发明人
周明杰 | 王平 | 张娟娟 | 张振华
简单同族
CN104419413A
简单同族成员数量
1
简单同族被引用专利总数
0
诉讼案件数
0
法律状态/事件
撤回
抱歉,您的浏览器不支持PDF预览,请点击链接下载PDF文件