专利数据库
统计分析
产业报告
专利数据监控
产业人才
行业动态
产业政策法规
维权援助
个人中心
详情
文本
图像
标题
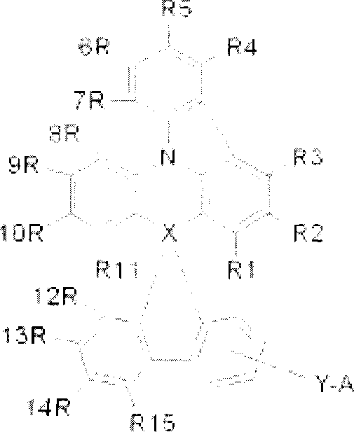
新型化合物和利用该化合物的有机发光器件(3)
授权日
1900-01-01
公开(公告)号
CN101006157A
申请日
2005-09-23
公开(公告)日
2007-07-25
当前申请(专利权)人
LG化学株式会社
发明人
赵昱东 | 金芝垠 | 全柄宣 | 李民钉 | 尹锡喜 | 文济民
简单同族
CN100570921C | CN101001935A | CN101006157A | CN101006157B | CN101010407A | CN101010407B | CN101010409A | CN101010409B | CN101010410A | CN101010410B | DE602005023320D1 | DE602005023322D1 | DE602005023499D1 | DE602005026027D1 | DE602005026064D1 | EP1791929A1 | EP1791929A4 | EP1791929B1 | EP1794256A1 | EP1794256A4 | EP1794256B1 | EP1794257A1 | EP1794257A4 | EP1794257B1 | EP1794258A1 | EP1794258A4 | EP1794258B1 | EP1926795A1 | EP1926795A4 | EP1926795B1 | JP2008510800A | JP2008511157A | JP2008511158A | JP2008511159A | JP2008511160A | JP4642849B2 | JP4647660B2 | JP4782131B2 | JP4782132B2 | JP4813487B2 | KR100645030B1 | KR100645032B1 | KR100645052B1 | KR100671862B1 | KR100671866B1 | KR1020060051606A | KR1020060051607A | KR1020060051608A | KR1020060051609A | KR1020060051611A | TW200619183A | TW200619348A | TW200621936A | TW200621937A | TW200621938A | TWI275628B | TWI279431B | TWI299053B | TWI306449B | TWI328604B | US20070247059A1 | US20070262706A1 | US20080093982A1 | US20080303414A1 | US20090200542A1 | US7799441 | US7838129 | US7842404 | US7842405 | US7892658 | WO2006080640A1 | WO2006080641A1 | WO2006080642A1 | WO2006080643A1 | WO2006080644A1
简单同族成员数量
75
简单同族被引用专利总数
159
诉讼案件数
0
法律状态/事件
授权
抱歉,您的浏览器不支持PDF预览,请点击链接下载PDF文件