首页
专利数据库
产业人才
行业动态
产业政策法规
维权援助
个人中心
登录/注册
详情
文本
图像
标题:
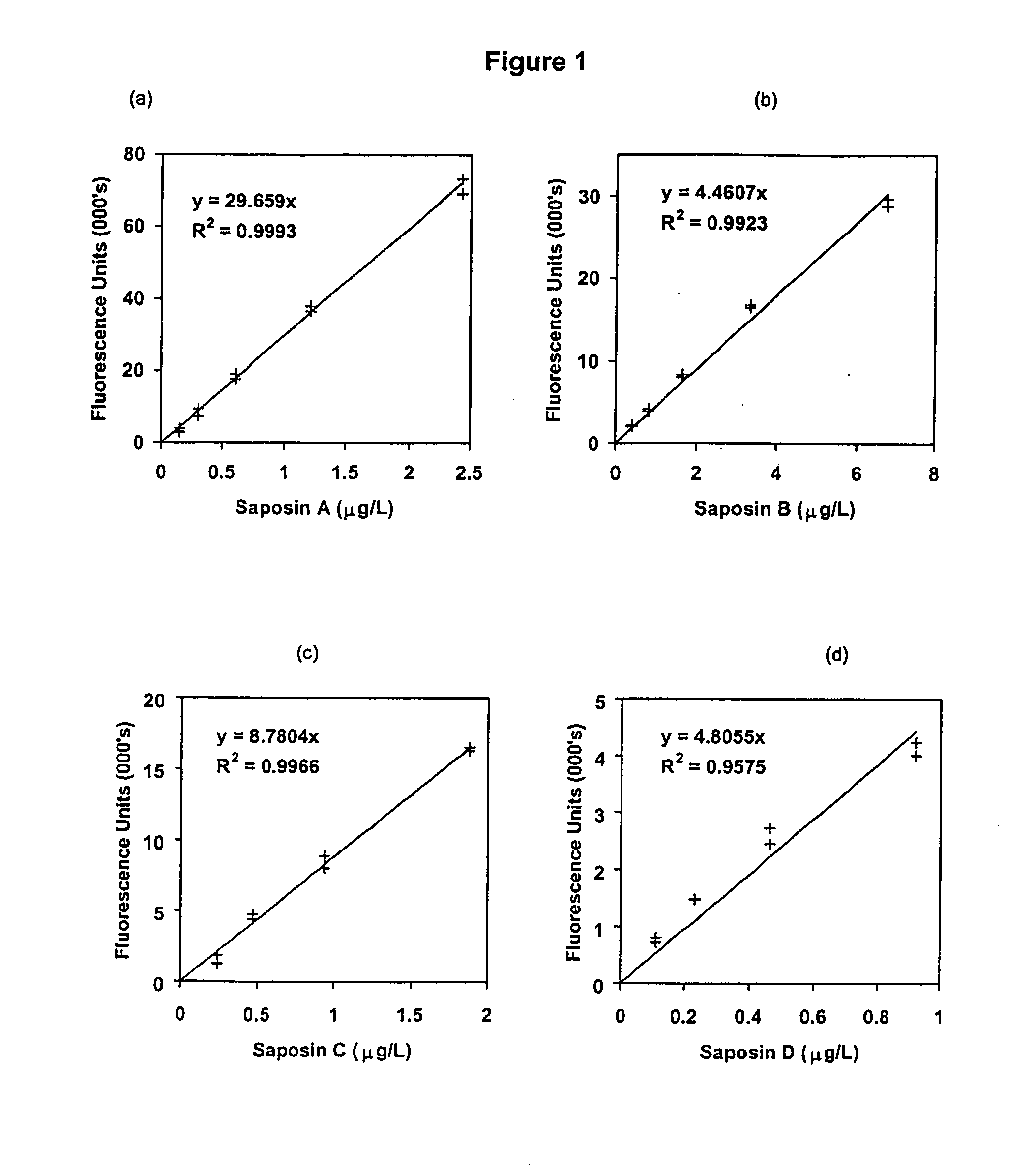
Diagnosis of lysosomal storage disorders using saposins and other markers
授权日:
1900-01-01
公开(公告)号:
US20050142590A1
申请日:
2004-10-26
公开(公告)日:
2005-06-30
当前申请(专利权)人:
WOMEN'S AND CHILDREN'S HOSPITAL
发明人:
MEIKLE, PETER JOHN | HOPWOOD, JOHN JOSEPH | WINCHESTER, BRYAN GORDON
简单同族:
US20050142590A1 | US7361481
简单同族成员数量:
2
简单同族被引用专利总数:
0
诉讼案件数:
0
法律状态/事件:
未缴年费