首页
专利数据库
产业人才
行业动态
产业政策法规
维权援助
个人中心
登录/注册
详情
文本
图像
标题:
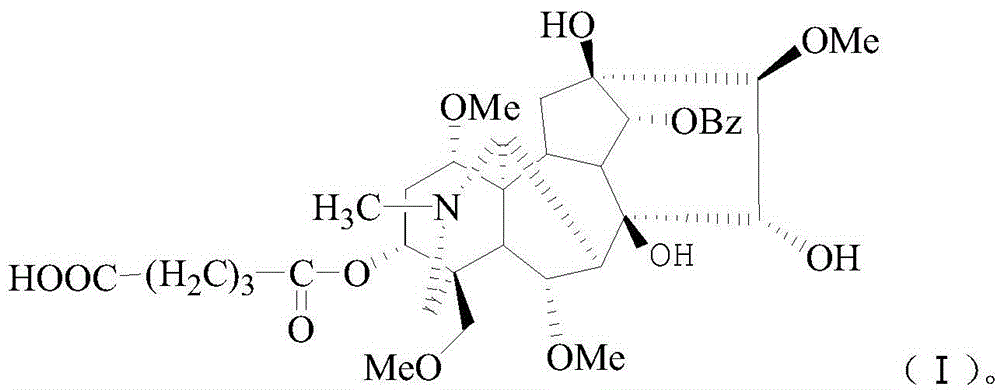
单酯型乌头碱半抗原化合物及其多抗、试剂盒与应用
授权日:
1900-01-01
公开(公告)号:
CN106674113A
申请日:
2015-11-06
公开(公告)日:
2017-05-17
当前申请(专利权)人:
上海医药工业研究院 | 中国医药工业研究总院
发明人:
华茉莉 | 许玉 | 袁帅 | 黄磊 | 徐云辉
简单同族:
CN106674113A | CN106674113B
简单同族成员数量:
2
简单同族被引用专利总数:
0
诉讼案件数:
0
法律状态/事件:
授权