首页
专利数据库
产业人才
行业动态
产业政策法规
维权援助
个人中心
登录/注册
详情
文本
图像
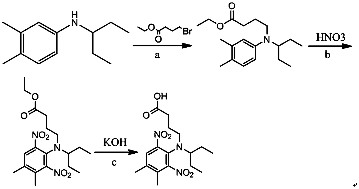
标题:
一种二甲戊灵半抗原与抗原的制备方法及应用
授权日:
1900-01-01
公开(公告)号:
CN109232286A
申请日:
2018-09-21
公开(公告)日:
2019-01-18
当前申请(专利权)人:
中国烟草总公司郑州烟草研究院 | 国家烟草质量监督检验中心 | 北京勤邦生物技术有限公司
发明人:
陈黎 | 范子彦 | 刘惠民 | 唐纲岭 | 崔华鹏 | 樊美娟 | 赵乐 | 武侠书 | 鲁亚辉 | 曹东山
简单同族:
CN109232286A
简单同族成员数量:
1
简单同族被引用专利总数:
0
诉讼案件数:
0
法律状态/事件:
实质审查