首页
专利数据库
产业人才
行业动态
产业政策法规
维权援助
个人中心
登录/注册
详情
文本
图像
标题:
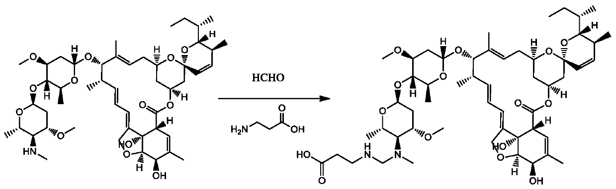
一种甲氨基阿维菌素单克隆抗体的制备及其应用
授权日:
1900-01-01
公开(公告)号:
CN110618269A
申请日:
2019-09-04
公开(公告)日:
2019-12-27
当前申请(专利权)人:
北京勤邦生物技术有限公司
发明人:
何方洋 | 万宇平 | 贾芳芳 | 崔海峰 | 朱亮亮 | 冯才伟 | 凡静静 | 王兆芹
简单同族:
CN110618269A
简单同族成员数量:
1
简单同族被引用专利总数:
0
诉讼案件数:
0
法律状态/事件:
公开