首页
专利数据库
产业人才
行业动态
产业政策法规
维权援助
个人中心
登录/注册
详情
文本
图像
标题:
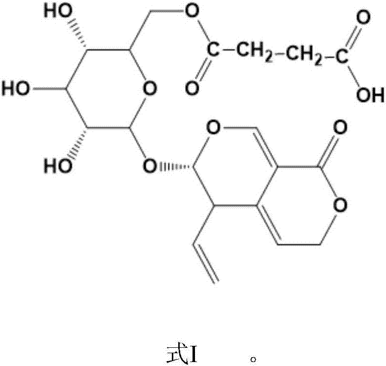
龙胆苦苷的人工抗原制备及间接竞争ELISA检测的建立方法
授权日:
1900-01-01
公开(公告)号:
CN107253989A
申请日:
2017-05-26
公开(公告)日:
2017-10-17
当前申请(专利权)人:
陕西科技大学
发明人:
钱卫东 | 刘婵婵 | 王婷 | 吴启航 | 曾桥
简单同族:
CN107253989A | CN107253989B
简单同族成员数量:
2
简单同族被引用专利总数:
0
诉讼案件数:
0
法律状态/事件:
授权