首页
专利数据库
产业人才
行业动态
产业政策法规
维权援助
个人中心
登录/注册
详情
文本
图像
标题:
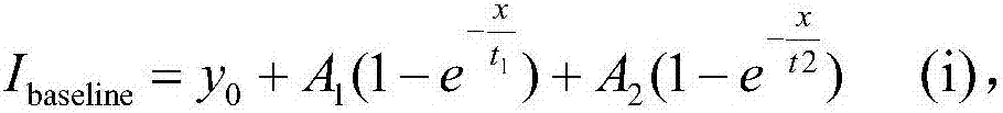
荧光免疫层析测试基线数据的处理方法
授权日:
1900-01-01
公开(公告)号:
CN107367610A
申请日:
2016-12-20
公开(公告)日:
2017-11-21
当前申请(专利权)人:
上海艾瑞德生物科技有限公司
发明人:
王佩瑞 | 李欢 | 倪晓涛 | 陆亮 | 肖琨 | 周亦迪 | 郭昊岩 | 曹秋岑
简单同族:
CN107367610A | CN107367610B
简单同族成员数量:
2
简单同族被引用专利总数:
0
诉讼案件数:
0
法律状态/事件:
授权