首页
专利数据库
产业人才
行业动态
产业政策法规
维权援助
个人中心
登录/注册
详情
文本
图像
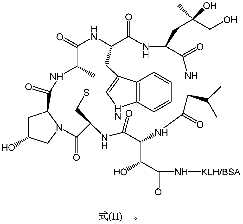
标题:
一种二羟鬼笔毒肽人工抗原及其制备方法与应用
授权日:
1900-01-01
公开(公告)号:
CN109824785A
申请日:
2019-02-28
公开(公告)日:
2019-05-31
当前申请(专利权)人:
中国农业大学
发明人:
沈建忠 | 王战辉 | 江海洋 | 温凯 | 史为民 | 张素霞
简单同族:
CN109824785A
简单同族成员数量:
1
简单同族被引用专利总数:
0
诉讼案件数:
0
法律状态/事件:
实质审查