标题:
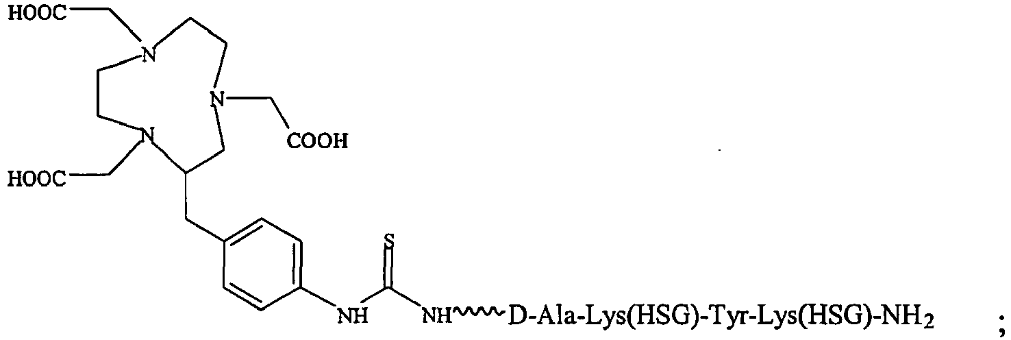
Production and use of novel peptide-based agents for use with bi-specific antibodies
授权日:
2012-10-31
公开(公告)号:
EP1372718B1
申请日:
2002-04-03
公开(公告)日:
2012-10-31
当前申请(专利权)人:
IMMUNOMEDICS, INC.
发明人:
HANSEN, HANS, J. | GRIFFITHS, GARY, L. | LEUNG, SHUI-ON | MCBRIDE, WILLIAM, J. | QU, ZHENGXING | GOLDENBERG, DAVID, M.
简单同族:
AU2002256025A1 | AU2002256025B2 | AU2008201428A1 | AU2008201428B2 | AU2010257348A1 | AU2010257348B2 | CA2442839A1 | CA2442839C | EP1372718A2 | EP1372718A4 | EP1372718B1 | EP2301581A1 | JP2005503768A | JP2005503768A5 | JP2009022273A | JP2010209098A | JP4538062B2 | JP4963512B2 | US20020006379A1 | US20060104899A1 | US20080293921A1 | US20090246131A1 | US20100136626A1 | US20100158803A1 | US6962702 | US7429381 | US7563439 | US7666415 | US7943343 | WO2002082041A2 | WO2002082041A3
简单同族成员数量:
31
简单同族被引用专利总数:
371
诉讼案件数:
0
法律状态/事件:
权利终止