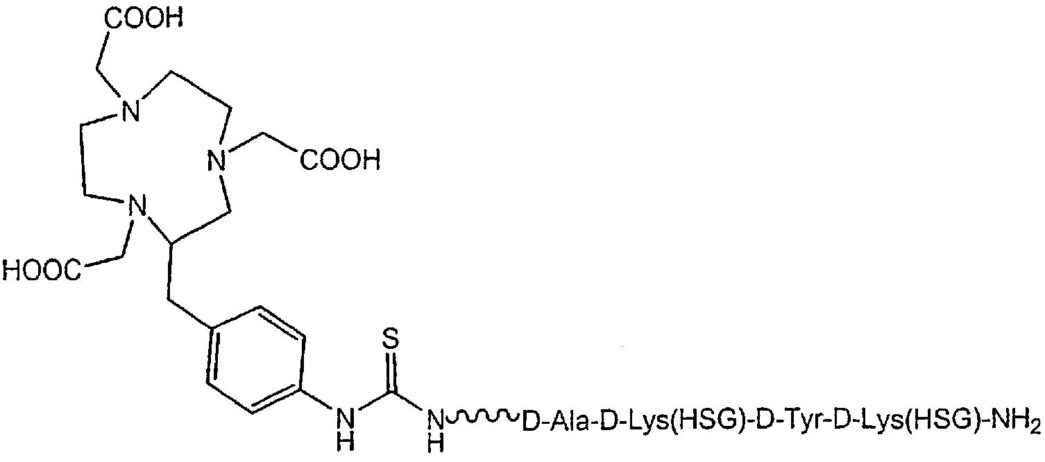
标题:
D-アミノ酸ペプチド
授权日:
1900-01-01
公开(公告)号:
JP2008504214A
申请日:
2004-06-14
公开(公告)日:
2008-02-14
当前申请(专利权)人:
イミューノメディクス、インコーポレイテッド
发明人:
ウィリアム、ジェイ.マクブライド | デイビッド、エム.ゴールデンバーグ
简单同族:
AU2004268932A1 | AU2004268932B2 | CA2529027A1 | CA2529027C | EP1633773A2 | EP1633773A4 | IL172403A | IL172403D0 | JP2008504214A | JP4937751B2 | US20050025709A1 | US20070142296A1 | US20100202961A1 | US7172751 | US7521416 | US7776311 | WO2005021494A2 | WO2005021494A3 | WO2005021494A9
简单同族成员数量:
19
简单同族被引用专利总数:
92
诉讼案件数:
0
法律状态/事件:
未缴年费