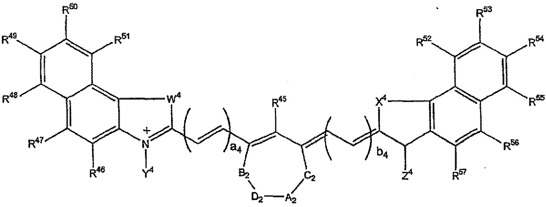
标题:
生物医学的適用のための調整可能なインドシアニン染料
授权日:
1900-01-01
公开(公告)号:
JP2003520215A
申请日:
2001-01-17
公开(公告)日:
2003-07-02
当前申请(专利权)人:
マリンクロッド·インコーポレイテッド
发明人:
サミュエル·アイ·アチレフ | ラガバン·ラジャゴパラン | リチャード·ビー·ドーショー | ジョゼフ·イー·ブガジュ
简单同族:
AU2001034466A1 | EP1250094A1 | EP1250094A4 | JP2003520215A | JP2003520215A5 | US20020044909A1 | US6180087 | US6264920 | US6641798 | WO2001052743A1
简单同族成员数量:
10
简单同族被引用专利总数:
344
诉讼案件数:
0
法律状态/事件:
撤回