首页
专利数据库
产业人才
行业动态
产业政策法规
维权援助
个人中心
登录/注册
详情
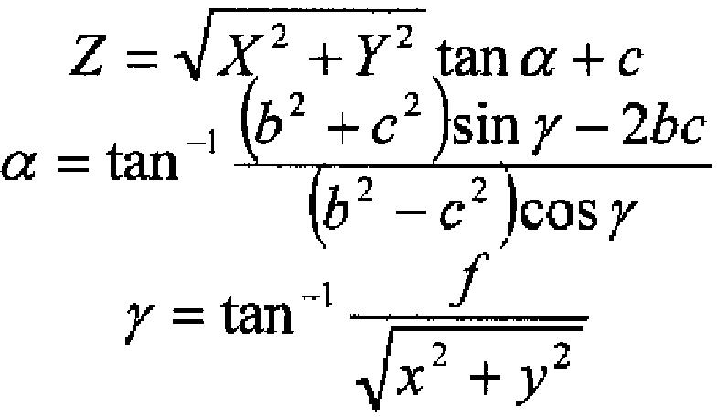
文本
图像
标题:
内視鏡システム
授权日:
2010-11-26
公开(公告)号:
JP4631057B2
申请日:
2005-02-17
公开(公告)日:
2011-02-16
当前申请(专利权)人:
国立大学法人大阪大学
发明人:
八木 康史 | 越後 富夫 | 佐川 立昌
简单同族:
CN100399978C | CN1921797A | JP4631057B2 | JPWO2005077253A1 | US20070161853A1 | US7922652 | WO2005077253A1
简单同族成员数量:
7
简单同族被引用专利总数:
96
诉讼案件数:
0
法律状态/事件:
授权