首页
专利数据库
产业人才
行业动态
产业政策法规
维权援助
个人中心
登录/注册
详情
文本
图像
标题:
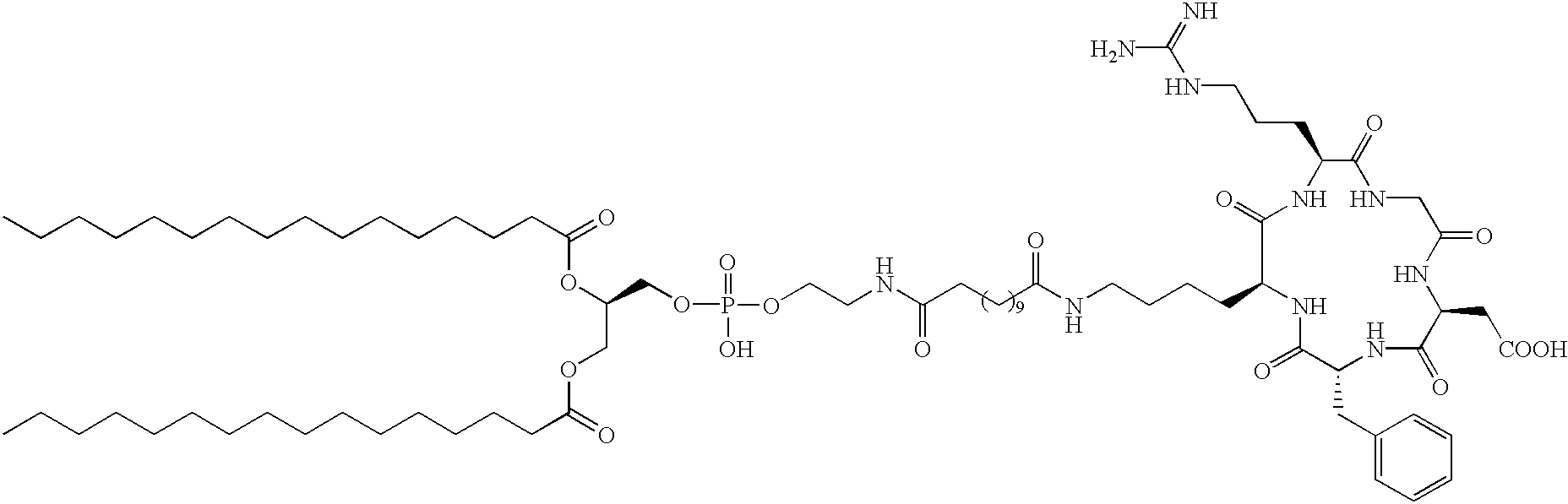
Gas microsphere liposome composites for ultrasound imaging and ultrasound stimulated drug release
授权日:
1900-01-01
公开(公告)号:
US20030044354A1
申请日:
2001-08-16
公开(公告)日:
2003-03-06
当前申请(专利权)人:
BRISTOL-MYERS SQUIBB PHARMA COMPANY
发明人:
CARPENTER, ALAN P. JR. | SLACK, GREGORY C.
简单同族:
US20030044354A1
简单同族成员数量:
1
简单同族被引用专利总数:
64
诉讼案件数:
0
法律状态/事件:
未缴年费 | 权利转移