首页
专利数据库
产业人才
行业动态
产业政策法规
维权援助
个人中心
登录/注册
详情
文本
图像
标题:
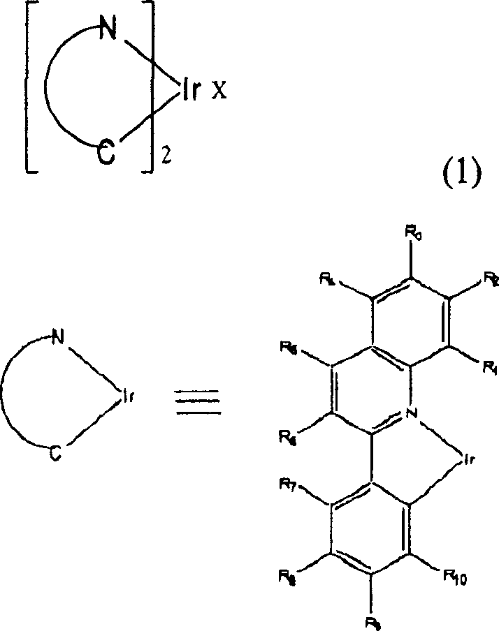
发红光的化合物及使用该化合物的有机场致发光器件
授权日:
1900-01-01
公开(公告)号:
CN1517427A
申请日:
2003-12-26
公开(公告)日:
2004-08-04
当前申请(专利权)人:
三星移动显示器株式会社
发明人:
权章赫 | 李宽熙 | 金载一 | 李振圭 | 朴秀珍
简单同族:
CN1517427A | JP2004210779A | JP4284169B2 | KR100509603B1 | KR1020040059304A | US20040127710A1 | US7265224
简单同族成员数量:
7
简单同族被引用专利总数:
133
诉讼案件数:
0
法律状态/事件:
驳回 | 权利转移